The 2023 Teacher Licensure Examination(NTC Exams) will begin on 13th September, 2023. Here are some likely Mathematics(JHS) questions and answers for all candidates.
1. Identify the addition property being illustrated in the equation 2+7=5+4.
A. Commutativity
EXCEL IN YOUR EXAMS
Get instant access to the most reliable Mocks and Marking Schemes.
BUY TOP 2026 BECE MOCKS AND ANSWERSB. Associativity
C. Distributivity
D. Identity
CHEAP NON-EXPIRING DATA
Buy affordable data bundles that never expire. Reliable and Instant Delivery!
BUY CHEAP DATA NOW2. Expand and simplify the expression 3x(x-1).
A. 3x-3x^2
B. 3x^2-3x
C. -3x^2-3x
D. -3x^2-1
3. In order to pass in a teaching license examination, the candidate should get either a total of 50 points or at least 10 points in each of the four thematic areas of the paper. Which of these candidates with the points generated in the four thematic areas is likely to fail in the examination?
A. 9, 8, 8, 25
B. 12, 10, 11, 10
C. 10, 15, 11, 9
D. 25, 25, 5, 5
4. The mean age of six students in a class is 16 years. A student joins them and the mean age becomes 17 years. What is the age of the seventh student?
A. 25
B. 23
C. 19
D. 17
5. A litre of fuel which sells at GH¢6 was increased by 10%. After agitation by consumers the new price is reduced by 10%. What is the current price of a litre of fuel?
A. ¢6.6
B. ¢6
C. ¢5.94
D. ¢5.4
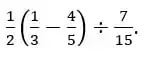
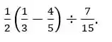
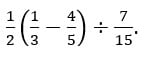
Structure Of 2023 Subject Based Ghana Teacher Licensure Examination
B. -1/15
C. 1/2
D. 1/15
7. The diagram below shows the number of shells collected by twenty (20) artists at the beach. If 40 shells are needed to create a chain, how many of the artists have enough shells to create a chain?

A. 7
B. 10
C. 13
D. 16
8. In a survey of a group on adult learners, 60 liked tea, 45 liked coffee and 30 liked chocolate drink. 25 of the leaners liked coffee as well as tea, 20 liked tea and chocolate drink and 15 liked coffee as well as chocolate drink. If 10 liked all the three beverages, then how many adult learners were involved in the survey?
A. 55
B. 65
C. 75
D. 85
9. A Veronica bucket is drained by three pipes. The first pipe can drain the full bucket in 15 minutes. The second pipe can drain the full bucket in 20 minutes and the third pipe can drain the pipe in 30 minutes. If all the three pipes are opened, how long will it take for the bucket to be emptied if they are half-filled? Approximate your answer to the nearest minutes.
A. 3
B. 6
C. 9
D. 12
Dollar, Pound and Euros to Cedi Exchange Rates from Forex Bureaus For September 2023
10. The table below shows the time spent (in minutes) by students at the library. What is the probability that a student picked at random spent at least 80 minutes at the library?

A. 7/15
B. 8/15
C. 1/2
D. 17/30
ANSWERS
1. B
2. B
3. C
4. B
5. C
6. A
7. B
8. D
9. A
10. A

